查看更多
密码过期或已经不安全,请修改密码
修改密码
壹生身份认证协议书
同意
拒绝
同意
拒绝
同意
不同意并跳过

虽说众口难调,但油炸过的食物酥酥脆脆,几乎人人都爱吃。
然而,在高油温下烹饪,食物因被煎炸迅速失去了水分,造成蛋白质变性并改变其营养成分,而且还产生了有害健康的反式脂肪酸;而且高热量高脂肪,让人看了更有食欲,从而导致你吃得更多。因此,油炸食品不利于身体健康是显而易见的,尤其是对心血管健康造成的影响。
当前,心血管疾病仍然是全世界死亡的主要原因。根据最新一版的《中国心血管健康与疾病报告》显示,中国心血管病患病率处于持续上升阶段,据估算目前患者人数已达3.3亿;心血管疾病死亡率仍旧首位,每5例死亡中就有2例死于心血管疾病。
已知饮食模式是患心血管疾病和死亡率增加的关键风险因素。尽管越来越多的研究表明以高油高脂高热量为代表的西方饮食模式不利于健康,但吃油炸食品对患心血管疾病甚至增加全因死亡率的确切关系仍需要进一步澄清。
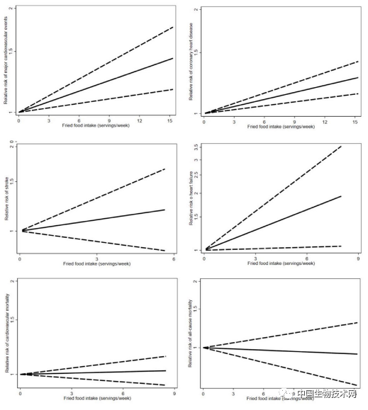
近日,发表在《英国医学杂志(BMJ)》旗下心脏和心血管领域杂志《Heart》上的一项荟萃研究中,来自深圳大学健康科学中心胡福兰和医学部胡东升领导的联合研究团队,探讨了油炸食品摄入与成年普通人群心血管疾病风险和全因死亡率之间的关系,并量化了摄入剂量:每周多增加114克油炸食品(一份快餐店的中号薯条,或一根油条),患主要心血管疾病事件风险就会增加。

在这项研究中,研究人员搜索了截至2020年4月之前发表在PubMed、EMBASE和Web of Science上的相关研究,并汇总了其中17项研究的数据,涉及562445名参与者和36727例主要心血管事件,即心脏病发作或中风,以评估风险关系。
研究人员还汇总了其中6项研究的数据,用来评估食用油炸食品与心血管疾病和全因死亡率之间是否存在联系。这些研究涉及了754873名参与者,其中85906人在平均9.5年的随访期间死亡。
分析结果表明,与每周摄入油炸食品最少的人相比,摄入最多的人患主要心血管事件风险增加了28%;患冠心病的风险增加了22%;患心力衰竭的风险增加了37%。
该结果还揭示了油炸食品的摄入与主要心血管事件、冠心病和心力衰竭之间的线性关系:每周多摄入114克,患上述三种疾病的风险分别增加3%、2%和12%。

当根据不同的研究和参与者特征进行分类时,这些关联依然存在。
研究人员没有发现食用油炸食品与全因死亡之间的联系。然而,作者们表示,这可能是因为他们的研究样本规模相对较小。
研究人员解释,有些研究只调查了一种油炸食品,如炸鱼、炸薯条或油炸零食,而没有考虑全部油炸食品的摄入量,这可能低估了油炸食品和疾病之间的关联。
研究人员提醒说,被纳入的这些研究设计差异很大,此外,有的研究是基于参与者的记忆,因此在解释研究结果的时候是需要考虑记忆这种因素的不确定性。
研究人员指出,油炸食品究竟如何影响心血管疾病的发展尚不完全清楚,但他们提出了几种可能的解释:
1、油炸食品因其脂肪含量高而会增加能量摄入,并且从经常用来烹饪它们的氢化植物油中产生有害的反式脂肪酸。
2、油炸还会促进与人体炎症反应有关的化学副产物产生,而且,像炸鸡和炸薯条等食物通常含盐量较高,特别是在快餐店的时候,还会与含糖饮料一起食用。
研究人员总结说,这项荟萃分析表明,食用油炸食品与心血管疾病风险增加有关。这一发现支持了公共健康指南,即控制油炸食品的摄入量以预防心血管疾病。
研究人员表示,还需要更多的研究来确定油炸食品的摄入与中风、心力衰竭、心血管疾病死亡和全因死亡的风险之间的联系。
来源:中国生物技术网
查看更多