查看更多
密码过期或已经不安全,请修改密码
修改密码
壹生身份认证协议书
同意
拒绝
同意
拒绝
同意
不同意并跳过
非酒精性脂肪肝(NAFLD,俗称脂肪肝)是最常见的慢性肝脏疾病,约有25%的成年人深受影响。NAFLD由代谢综合征驱动,与肥胖、胰岛素抵抗和高脂血症有关。NAFLD包括非酒精性脂肪肝(NAFL),以及由其演变的非酒精性脂肪性肝炎(NASH)、脂肪性肝纤维化、肝硬化等。
由于其高患病率,非酒精性脂肪肝现在是全世界与肝脏有关的死亡率中增长最快的原因,并已成为导致终末期肝病、原发性肝癌和肝移植的重要原因。去年发表在胃肠道顶尖杂志GUT上的一项研究表明,即使是轻度脂肪肝也会增加71%死亡风险,且风险与脂肪肝的严重程度成正比。目前,临床上还没有批准的药物用于治疗 NAFLD,只能靠生活方式干预措施来治疗 NAFLD,比如减肥和运动。
但是众所周知,想要凭借个人意志减肥或运动是很难做到的。发表在Hepatology 上的一项研究发现,虽然体重减轻可以改善脂肪肝,但是超过 一半的人未能成功减到目标体重。另一项研究表明,如果想要生活方式干预起到比较好的效果,需要多学科团队包括营养师、心理学家和体育活动监督员对 NAFLD患者进行帮助。但这比较困难和费钱。

近期,一项发表在细胞出版社(Cell Press)发行的MED杂志上的研究发现了脂肪肝的潜在新疗法,研究结果表明,注射瘦素12个月后可以减少脂肪肝患者的肝脏脂肪,并且NASH评分显著降低。

瘦素是什么?
瘦素(Leptin)是一种蛋白质类激素,与控制食欲和饥饿满足感密切相关。它是由来自美国洛克菲勒大学的Maffei等科学家于1995年命名的,源自希腊语“lepto”,含义是“瘦”。
在我们体内,瘦素主要由脂肪组织分泌,然后刺激下丘脑的受体,促使机体减少摄食,增加能量释放,抑制脂肪细胞的合成,进而使体重减轻。
在MED上的这项研究中,研究员选择了9名患有NASH且瘦素水平相对较低(低于9纳克/毫升,平均BMI为 28.2 ±1.6kg/m2)的男性患者以及23名同时患有部分脂肪变性和NASH的患者。两组患者都接受了瘦素治疗,为期一年。
参与者每天通过皮下注射瘦素,治疗的剂量为0.1mg/kg/d,最大剂量为10 mg/d。主要结果是 NASH 评分,次要结果是肝脏脂肪百分、体重和体脂。
研究结果发现,对于瘦素水平较低的脂肪肝参与者,在瘦素治疗12个月后,体重减轻了4.5%±3.9%,而且减去的大部分是脂肪。同时,患者的胰岛素敏感性和血糖水平也有所改善。

基线时和瘦素治疗后12个月的受试者特征
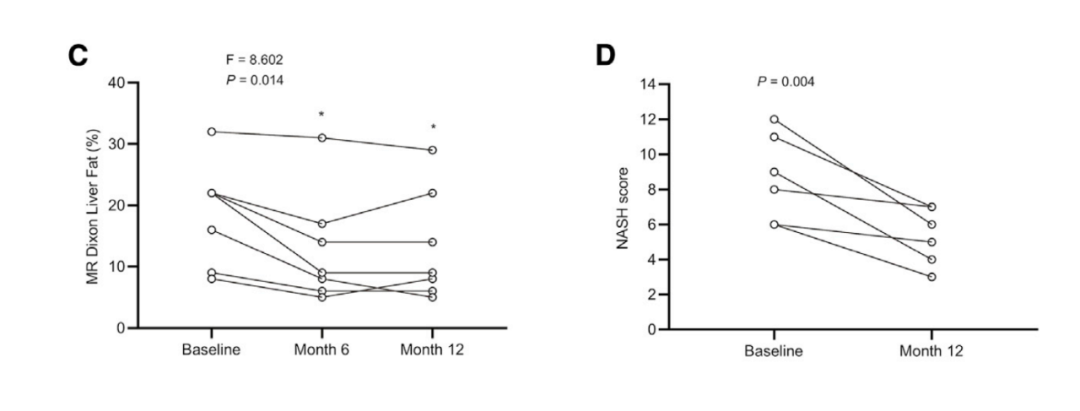
研究员进一步通过磁共振成像(MRI)测量发现,在瘦素治疗12个月后,患者的肝脏脂肪含量显著下降,肝脂肪的平均水平从基线时的19% ±8%到12个月后的13% ± 9%;NASH评分从基线时的8 ±3 到5 ±2。在完成12个月治疗的7位受试者中,有5位的NASH总分至少减少了3分。

(C)肝脏脂肪百分比随着时间的变化
(D)基线和12个月时的单个NASH评分
可惜的是,在这篇研究中,作者指出这项瘦素治疗只会让早期超重状态且瘦素水平低的脂肪肝患者受益,当患者被确定肥胖后,给其注射瘦素几乎没有任何好处。[世界卫生组织(WHO)规定的超重和肥胖BMI临界值标准为25和30 kg/M2]

为什么注射瘦素对肥胖患者没有用呢?
首先我们要了解瘦素的作用机制,瘦素在负反馈回路中起着传入信号的作用,其主要作用于下丘脑神经元。目前已鉴定出瘦素的反馈调节回路有以下三个步骤:
(1) 瘦素监控脂肪组织的大小,并向下丘脑发送信号;
(2)下丘脑中心通过瘦素受体(LRb)接收和整合瘦素信号的强度;
(3) 效应系统(包括交感神经系统)通过调节一些信息物质,控制机体的能量摄入和能量消耗。

在肥胖症患者中,由于身体脂肪量增加,瘦素水平随之升高。如果体内瘦素水平大量上升,那么对瘦素受体就会产生长时间高强度的刺激,使瘦素受体对瘦素的敏感性下降,形成瘦素体抗(类似于2型糖尿病中的胰岛素抵抗)。

之前研究也发现,瘦野生型动物体内的瘦素水平较低,瘦素治疗后体重减轻,而在高脂饮食诱导的肥胖小鼠模型中,注射瘦素并未产生显著减重效果。
那肥胖伴有瘦素抵抗的脂肪肝患者就没救了吗?
答案是:有的!
既然增加瘦素的办法行不通,那么我们可以从增加瘦素受体敏感性入手。
我们可以通过以下生活方式的改变,来逆转瘦素信号通路中的紊乱,达到减重的目的。有研究表明,体重减轻10%或更多,可以在90%患者中改善NASH。
肥胖伴有瘦素抵抗的脂肪肝患者适当多吃蛋白质。足够的蛋白质对瘦素的敏感性有改善作用,只要一点点瘦素,就可以燃烧很多脂肪。
肥胖伴有瘦素抵抗的脂肪肝患者保证充足睡眠。睡眠对改善瘦素受体敏感性非常重要,不仅是美容觉,而且还是瘦身觉。
来源:梅斯医学
查看更多