壹生大学

壹生身份认证协议书

本项目是由壹生提供的专业性学术分享,仅面向医疗卫生专业人士。我们将收集您是否是医疗卫生专业人士的信息,仅用于资格认证,不会用于其他用途。壹生作为平台及平台数据的运营者和负责方,负责平台和本专区及用户相关信息搜集和使用的合规和保护。
本协议书仅为了向您说明个人相关信息处理目的,向您单独征求的同意,您已签署的壹生平台《壹生用户服务协议》和《壹生隐私政策》,详见链接:
壹生用户服务协议:
https://apps.medtrib.cn/html/serviceAgreement.html
壹生隐私政策:
https://apps.medtrib.cn/html/p.html
如果您是医疗卫生专业人士,且点击了“同意”,表明您作为壹生的注册用户已授权壹生平台收集您是否是医疗卫生专业人士的信息,可以使用本项服务。
如果您不是医疗卫生专业人士或不同意本说明,请勿点击“同意”,因为本项服务仅面向医疗卫生人士,以及专业性、合规性要求等因素,您将无法使用本项服务。

同意

拒绝

同意

拒绝

知情同意书

同意

不同意并跳过

工作人员正在审核中,
请您耐心等待
审核未通过
重新提交
完善信息
{{ item.question }}
确定
收集问题
{{ item.question }}
确定
您已通过HCP身份认证和信息审核
(
5
s)

血清1,5-AG可有效识别TITR的达标情况 | 内分泌临床研究展播

2026-03-09作者:夏天资讯
原创

2.35.jpg

研究名称2型糖尿病患者血糖在严格范围内时间与1,5-脱水葡萄糖醇(1,5-AG)水平的关系


发表期刊:《糖尿病肥胖与代谢》(Diabetes, Obesity and Metabolism,影响因子:5.7)


通讯作者:周健、陆静毅


第一作者:苏杭、倪佳英、彭丹凤


主要作者单位:上海交通大学医学院附属第六人民医院


推荐理由


该研究通过对近3个月治疗方案未变化且血糖控制稳定的2型糖尿病患者进行持续葡萄糖监测(CGM),发现血清1,5-脱水葡萄糖醇(1,5-AG)水平与血糖在严格范围内时间(TITR)呈显著正相关,其预测TITR达标(>50%)的最佳切点为8.0 μg/ml。本研究通过整合传统血糖监测指标与CGM技术,以期提高非CGM佩戴期间精细血糖管理的可及性。


研究解读

随着糖尿病管理策略和治疗手段的不断进步,对血糖在接近目标水平时进行精细评估和调整的需求日益凸显,因而CGM的新兴指标TITR(定义为每日血糖水平在3.9~7.8 mmol/L的时间占比)在近年来得到关注。

TITR关注的血糖控制范围更接近健康人的血糖生理区间,既往研究表明对于糖化血红蛋白(HbA1c)目标更严格者,TITR相较于血糖目标范围内时间(TIR)对血糖的变化更敏感。课题组此前的研究结果显示,在血糖控制较好的2型糖尿病患者中,TITR与糖尿病视网膜病变及全因死亡风险仍密切相关。

血清1,5-AG作为常用的辅助血糖监测指标之一,能准确反映测量前1周左右的血糖水平。我国已于2015年将其纳入了《中国血糖监测临床应用指南》,提出血清1,5-AG可作为辅助的血糖指标指导糖尿病患者治疗方案的调整。相比于HbA1c等长期监测指标,1,5-AG反映血糖控制的时间跨度与CGM佩戴时长更接近。

值得注意的是,既往研究表明1,5-AG在评估血糖波动方面优于HbA1c,尤其在轻度糖代谢紊乱及接近控制目标的个体中更占优势,这些特点恰与TITR的应用场景吻合,可以推测1,5-AG可能有助于预测TITR水平。然而,目前1,5-AG与TITR之间的关系尚不清楚。

为此,研究纳入近3个月治疗方案未变化且HbA1c<8.0%的2型糖尿病患者1531例,所有研究对象均佩戴盲测CGM,以酶法测定血清1,5-AG水平。研究人群的中位数1,5-AG为7.4(4.4, 12.1)μg/ml,TITR的中位水平为52.0%(32.0%, 69.0%)。

图片

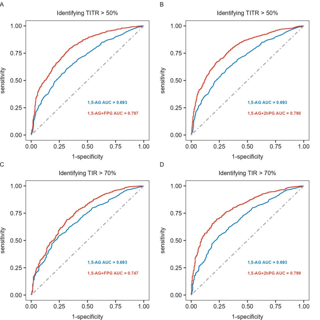
相关性分析显示1,5-AG与TITR和TIR均呈正相关(均P< 0.001)。1,5-AG识别TITR>50%和TIR>70%的切点分别为8.0 μg/ml和7.8 μg/ml,AUC分别为0.693 (0.667, 0.719)及0.693 (0.661, 0.725),在不同性别、年龄、体重指数、肾功能等亚组中,均见到类似或接近的AUC结果(约为0.7)。此外,1,5-AG联合空腹血糖或餐后2小时血糖可进一步提高识别TITR>50%的效能。

图片

本研究结果表明,2型糖尿病人群中血清1,5-AG与TITR显著相关,可利用血清1,5-AG有效识别TITR的达标情况,从而对HbA1c及TIR达标或接近达标的这部分患者提供额外的血糖信息,有助于进一步优化血糖控制。通过结合传统血糖指标与CGM技术,为未佩戴CGM时的精细化血糖管理提供了新策略。


作者简介


周健.jpg
周健 教授
通讯作者

主任医师、教授、博士生导师,上海交通大学医学院附属第六人民医院内分泌代谢科主任/支部书记,上海市领军人才,上海市优秀学术带头人,美国Pennington生物医学研究中心访问学者。

兼任上海市医学会糖尿病专科分会副主任委员,糖尿病监测与治疗新技术学组组长,《Endocrine》副主编,《Cardiovascular Diabetology》编委。

从事临床工作与研究二十余年,在糖尿病、甲状腺、垂体及肾上腺等疾病诊治积累了一定的临床经验。曾入选“上海市科技启明星”,“上海市医苑新星杰出青年人才培养计划”等培养计划。以第一/通讯作者在Diabetes Care (6篇)、Diabetes、Diabetologia、JCEM等杂志发表SCI论文50余篇,以第一完成人获上海市科技进步二等奖及中华医学科技奖三等奖。以第二完成人获上海市科技进步奖一等奖、上海市科普一等奖和上海医学科技一等奖等4项。2013年获上海市“银蛇奖”二等奖。


每一项临床研究都倾注着研究团队的心血结晶。学习过后,您是否有所收获?或有疑问想与主创团队分享?请在评论区留言,期待与您交流!


END
200 评论

查看更多