壹生大学

壹生身份认证协议书

本项目是由壹生提供的专业性学术分享,仅面向医疗卫生专业人士。我们将收集您是否是医疗卫生专业人士的信息,仅用于资格认证,不会用于其他用途。壹生作为平台及平台数据的运营者和负责方,负责平台和本专区及用户相关信息搜集和使用的合规和保护。
本协议书仅为了向您说明个人相关信息处理目的,向您单独征求的同意,您已签署的壹生平台《壹生用户服务协议》和《壹生隐私政策》,详见链接:
壹生用户服务协议:
https://apps.medtrib.cn/html/serviceAgreement.html
壹生隐私政策:
https://apps.medtrib.cn/html/p.html
如果您是医疗卫生专业人士,且点击了“同意”,表明您作为壹生的注册用户已授权壹生平台收集您是否是医疗卫生专业人士的信息,可以使用本项服务。
如果您不是医疗卫生专业人士或不同意本说明,请勿点击“同意”,因为本项服务仅面向医疗卫生人士,以及专业性、合规性要求等因素,您将无法使用本项服务。

同意

拒绝

同意

拒绝

知情同意书

同意

不同意并跳过

工作人员正在审核中,
请您耐心等待
审核未通过
重新提交
完善信息
{{ item.question }}
确定
收集问题
{{ item.question }}
确定
您已通过HCP身份认证和信息审核
(
5
s)

不用抽血、不做肠镜,唾液就能辅助诊断炎症性肠病?

2025-10-23作者:论坛报马山资讯
非原创

炎症性肠病(IBD)包括克罗恩病(CD)和溃疡性结肠炎(UC),是一种反复发作、严重影响患者生活质量的慢性肠道疾病。目前,IBD 的诊断主要依赖肠镜+活检,不仅痛苦,还费时费钱。常规血液指标如C反应蛋白(CRP)和血沉(ESR)又缺乏特异性,难以准确反映病情变化。


有没有更无创、便捷的方法呢?

   

北京大学人民医院消化内科陈宁主任团队联合北京大学口腔医院陈峰教授于2025年8月11日在国际期刊 International Journal of Molecular Sciences (JCR Q1)上发表了一项研究:发现唾液外泌体中的微小RNA(miRNA)有望作为辅助诊断IBD及判断疾病活动性的新型生物标志物。



为什么是唾液?


image.png
     
  • 无创采集:患者接受度高,尤其适合短时间内反复采集,监测病情变化。

  • 稳定性好:外泌体保护miRNA不被降解,结果更可靠。

  • 信息丰富:唾液中的分子可反映全身性疾病状态,包括肠道炎症。



核心发现



image.png

    

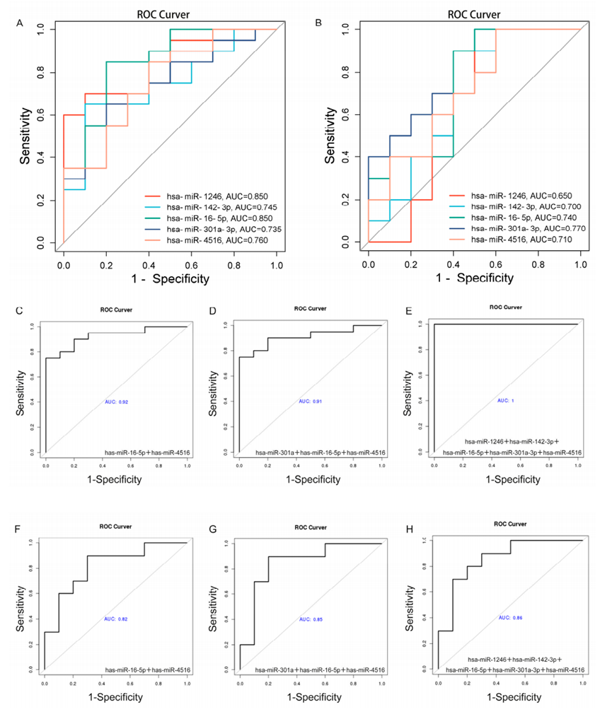
研究通过系统性的生物标志物开发流程,首次揭示IBD患者唾液外泌体miRNA表达谱存在显著改变。在发现队列中,与健康对照(HC)相比,IBD患者唾液外泌体中共有23个miRNA显著上调,6个miRNA显著下调。且克罗恩病(CD)和溃疡性结肠炎(UC)亚型分别呈现特异的miRNA表达模式。进一步分析结果显示,多个miRNA的表达水平随疾病活动状态动态变化,其中15个miRNA在CD活动期显著高表达,4个miRNA在UC缓解期中显著低表达。重要的是,这些miRNA与临床指标呈现显著相关性:miR-205-5p和miR-451a与CRP水平正相关,miR-16-5p、miR-199b-3p等与ESR水平正相关。

在独立验证队列(n=120)中,研究人员成功确认了一个8-miRNA特征谱,其中5个核心miRNA(hsa-miR-1246, -142-3p, -16-5p, -301a-3p, -4516)的表达水平与疾病活动性高度一致。诊断效能评估结果显示,这组生物标志物表现出卓越性能:五联miRNA组合在区分IBD与健康对照时曲线下面积(AUC)达到1.000,在区分疾病活动期与缓解期时AUC为0.86,其双miRNA组合(miR-16-5p + miR-4516)也分别达到0.925和0.82的AUC值。



临床意义与展望


这项研究为IBD的诊断、病情监测提供了新思路。未来也许只需一口唾液,就能知道肠道是否在“发炎”,甚至判断是该用药还是该调整治疗方案。科技正在让医疗变得更人性化。无创、快速、精准的诊断方式,不仅是患者的福音,也是医学进步的体现。期待这项技术早日走向临床,惠及更多IBD患者!


作者信息


北京大学人民医院消化内科杨丛艺为本文第一作者;北京大学人民医院消化内科陈宁及北大口腔医院陈峰为本文共同通讯作者。本研究得到国家自然科学基金委面上项目、北自然京津冀联合项目,北京大学人民医院研究与发展基金等的支持。


 image.png





炎症性肠病团队简介


北京大学人民医院消化内科始建于1990年,2015年成立免疫介导消化疾病临床研究中心,2019年通过中华医学会消化分会炎症性肠病诊疗质控中心(IBDQCC)认证,成为首批炎症性肠病区域性诊疗中心。在刘玉兰教授、陈宁教授的带领下,多年来致力于炎症性肠病的研究,汇聚丰富经验,为溃疡性结肠炎、克罗恩病患者提供全面评估与系统治疗,并依托医院综合实力,针对疑难病例开展高水平多学科协作诊疗,同时,团队注重患者长期管理,以人文关怀与专业服务赢得患者信赖,是国内IBD诊疗的领军力量。


来源:北京大学人民医院消化内科



200 评论

查看更多