壹生大学

壹生身份认证协议书

本项目是由壹生提供的专业性学术分享,仅面向医疗卫生专业人士。我们将收集您是否是医疗卫生专业人士的信息,仅用于资格认证,不会用于其他用途。壹生作为平台及平台数据的运营者和负责方,负责平台和本专区及用户相关信息搜集和使用的合规和保护。
本协议书仅为了向您说明个人相关信息处理目的,向您单独征求的同意,您已签署的壹生平台《壹生用户服务协议》和《壹生隐私政策》,详见链接:
壹生用户服务协议:
https://apps.medtrib.cn/html/serviceAgreement.html
壹生隐私政策:
https://apps.medtrib.cn/html/p.html
如果您是医疗卫生专业人士,且点击了“同意”,表明您作为壹生的注册用户已授权壹生平台收集您是否是医疗卫生专业人士的信息,可以使用本项服务。
如果您不是医疗卫生专业人士或不同意本说明,请勿点击“同意”,因为本项服务仅面向医疗卫生人士,以及专业性、合规性要求等因素,您将无法使用本项服务。

同意

拒绝

同意

拒绝

知情同意书

同意

不同意并跳过

工作人员正在审核中,
请您耐心等待
审核未通过
重新提交
完善信息
{{ item.question }}
确定
收集问题
{{ item.question }}
确定
您已通过HCP身份认证和信息审核
(
5
s)

丁玎教授团队发表10年队列研究结果——达到1年无发作可显著降低中国农村癫痫患者死亡风险!

2026-03-11作者:论坛报寒夜资讯
非原创

近日,复旦大学附属华山医院神经内科葛炎主治医师、丁玎教授团队联合国内外专家,在国际癫痫期刊Epilepsia发表研究论文“One year of seizure freedom reduces premature death in people with epilepsy in rural China: A 10-year cohort study”。该研究基于中国农村癫痫人群流行病学前瞻性队列10年随访数据,评估了癫痫病程中达到连续1年无发作的临床诊疗目标与全因死亡、癫痫相关死亡及癫痫性猝死(SUDEP)风险之间的关联。





一、文章概览



癫痫患者相较于一般人群存在显著升高的过早死亡风险,更好的发作控制可能是重要保护因素,但关于“发作控制是否能够降低死亡风险”的高质量人群证据目前仍主要来自高收入国家;来自低中收入地区,尤其是中国农村地区的长期随访证据不足。与此同时,既往研究多以基线单次发作控制状态进行评估,缺乏对长病程中发作控制变化的纵向观察。在我国农村等医疗资源相对有限地区,持续无发作的实现仍面临较大挑战。围绕这一关键临床与公共卫生问题,本研究基于中国河南农村癫痫人群10年流行病学社区队列数据,更新了死亡流行病学数据,并重点评估了曾达到连续1年无发作这一临床可操作目标对死亡风险的长期保护作用。


本研究发现,在随访过程中曾达到连续1年无发作与癫痫患者死亡风险显著降低相关,提示这一目标具有明确的临床与公共卫生意义。该结果为基层和资源有限地区的癫痫管理提供了务实、可推广的干预方向:通过加强规范诊疗、持续随访、依从性管理和SUDEP宣教,有望进一步减少可预防死亡并改善长期预后。




二、选题背景



癫痫是常见的慢性神经系统疾病,全球疾病负担沉重。既往研究提示,癫痫患者的过早死亡风险约为一般人群的2~3倍;然而,关于死亡模式、死因构成及发作控制与死亡风险关系的证据,在低中收入国家尤其是农村地区仍较为不足。


在我国农村等资源有限地区,既往文献多提示癫痫患者死亡主要由脑血管病、感染等与癫痫非直接相关原因所致;在癫痫相关死亡中,伤害和意外常为主要因素。与之不同,高收入国家的研究显示,在可预防死因得到较好控制的背景下,SUDEP成为更突出的主要死因。近年来,随着我国基层医疗可及性提升、癫痫规范管理项目推进及公众认知改善,癫痫患者的死因谱可能已发生变化,亟须新的长期随访证据进行更新。同时,在农村等医疗资源相对有限地区,持续无发作仍较难实现。加之癫痫具有发作波动性和病程异质性,仅依赖基线一次性评估难以准确反映长期预后,因此有必要基于长病程中的发作控制纵向数据,进一步回答曾达到无发作这一现实治疗目标是否能够带来生存获益。




三、研究内容



本研究为基于中国河南农村癫痫人群的流行病学前瞻性队列研究。研究对象于2010~2011年纳入,随后分别于2013~2014年、2015~2016年和2020~2022年完成3次随访。研究团队系统收集人口学与临床信息、癫痫发作与治疗情况及生存结局,并将连续1年无发作定义为病程中连续1年无癫痫发作;基于多次随访资料,进一步构建长随访期间曾达到连续1年无发作这一暴露指标。


对于死亡病例,研究团队结合死亡证明及结构化死因判断问卷信息,由多学科专家小组进行死因判定,并依据规范标准对SUDEP进行分类,从而提高了死因判断的准确性与一致性。统计分析中,研究计算了死亡率、标准化死亡比(SMR)和死因构成比,并通过回归模型评估随访期间曾达到1年无发作与全因死亡、癫痫相关死亡及SUDEP死亡风险的关联。


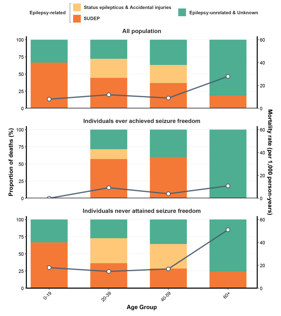
在610名纳入受试者中,10年随访期间约一半参与者曾达到连续1年无发作。全因死亡率为13.5/1000人·年,年龄和性别校正后的SMR为2.4,提示该人群过早死亡风险明显高于一般人群。在全部死亡中,癫痫相关死亡占近一半,其中SUDEP为最主要的单一死因(约占全部死亡的1/3)。与从未达到者相比,随访中曾达到连续1年无发作者的全因死亡及癫痫相关死亡风险显著降低。亚组分析进一步提示,这一保护作用在女性、老年人、成年起病者以及无合并症人群中更为明显。

图1 分年龄段标准化死亡比


图2 分年龄段死因构成谱系




四、研究意义及展望



本研究基于中国农村癫痫人群10年流行病学社区前瞻性队列,提供了资源有限地区癫痫长期生存结局及死因谱的更新证据,具有重要的临床与公共卫生意义。研究不仅提示该人群过早死亡风险仍显著升高,也揭示了SUDEP在当前农村癫痫死亡负担中的突出地位。

更重要的是,本研究显示曾达到连续1年无发作这一临床实践中相对可实现的治疗目标,与死亡风险显著降低相关。该发现为基层及资源有限地区的癫痫管理提供了可操作的干预目标:通过加强规范诊疗、持续随访、依从性管理和SUDEP宣教,有望进一步减少可预防死亡,改善长期预后。




END




来源 复旦大学附属华山医院神经内科

200 评论

查看更多