壹生大学

壹生身份认证协议书

本项目是由壹生提供的专业性学术分享,仅面向医疗卫生专业人士。我们将收集您是否是医疗卫生专业人士的信息,仅用于资格认证,不会用于其他用途。壹生作为平台及平台数据的运营者和负责方,负责平台和本专区及用户相关信息搜集和使用的合规和保护。
本协议书仅为了向您说明个人相关信息处理目的,向您单独征求的同意,您已签署的壹生平台《壹生用户服务协议》和《壹生隐私政策》,详见链接:
壹生用户服务协议:
https://apps.medtrib.cn/html/serviceAgreement.html
壹生隐私政策:
https://apps.medtrib.cn/html/p.html
如果您是医疗卫生专业人士,且点击了“同意”,表明您作为壹生的注册用户已授权壹生平台收集您是否是医疗卫生专业人士的信息,可以使用本项服务。
如果您不是医疗卫生专业人士或不同意本说明,请勿点击“同意”,因为本项服务仅面向医疗卫生人士,以及专业性、合规性要求等因素,您将无法使用本项服务。

同意

拒绝

同意

拒绝

知情同意书

同意

不同意并跳过

工作人员正在审核中,
请您耐心等待
审核未通过
重新提交
完善信息
{{ item.question }}
确定
收集问题
{{ item.question }}
确定
您已通过HCP身份认证和信息审核
(
5
s)

友谊“心”力量!黄榕翀教授团队多项研究成果亮相ESC 2025(4)

2025-09-12作者:论坛报木易资讯
原创

2025年8月28日至9月1日,欧洲心脏病学会年会(ESC 2025)在西班牙马德里隆重举行。作为全球心血管病领域最具影响力的学术会议之一,本次年会吸引了来自世界各地的专家学者参会交流。



首都医科大学附属北京友谊医院心内科黄榕翀教授团队受邀交流口头发言2项、壁报展示4篇,涵盖了早发动脉粥样硬化性心血管疾病全球负担分析、血压管理创新策略、儿童肥胖与成年后心脏结构、功能和疾病、炎症累积负担与代谢性疾病、听力损失与心血管疾病关联等多个心血管领域前沿研究。团队进行了精彩的口头分享与交流,研究内容广受好评,引起了国内外学者的广泛关注。其中,杜耀博士在全球心血管青年医师中脱颖而出,荣获ESC青年研究者奖(ESC Young Investigator Award)。



下面摘取部分交流内容,带大家重温这场学术盛宴,回顾本次会议中的北京友谊医院心内科团队“中国之声”。



都医科大学附属北京友谊医院心内科黄榕翀教授团队在ESC现场



PART 4
炎症累积负担与代谢功能障碍相关脂肪性肝病研究



第一作者:赵宇博士




研究背景

代谢功能障碍相关脂肪性肝病(MASLD)是全球重大公共卫生问题,患病率约30%,与心血管疾病、糖尿病等严重并发症密切相关。传统研究多关注单次炎症指标测定,但无法充分反映慢性炎症的累积损伤效应。其发病机制涉及代谢紊乱、遗传及环境因素交互作用,而慢性炎症是连接代谢失调与肝损伤的核心环节。炎症累积负担强调长期低度炎症对器官的累积损伤效应,但该效应与MASLD风险的关联尚缺乏系统证据。




研究方法

基于北京“通州队列”前瞻性研究(NCT05156580),纳入2016–2019年连续参加体检且基线无MASLD的社区人群2126例,中位随访27个月。通过5项传统炎症标志物(血小板、中性粒细胞、淋巴细胞、单核细胞计数及C反应蛋白)构建个体与综合炎症累积负担评分(5~20分),计算方式为各指标多次测量值的面积累积(时间加权)。采用多因素Cox回归模型分析评分与MASLD风险的关系,并通过限制性立方样条检验剂量-反应关系,并进行亚组分析。




研究结果

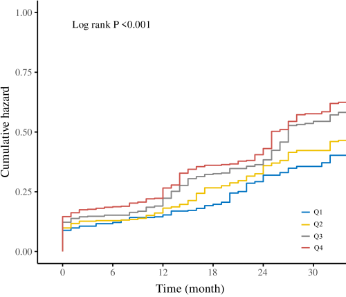
综合炎症累积负担评分每增加1个标准差,MASLD风险升高16%(HR=1.16,95%CI:1.08~1.23,P<0.001);最高四分位数组风险较最低组增加39%(HR=1.39,95%CI:1.16~1.68,P<0.001)。



表 综合炎症累积负担评分与MASLD风险关系

图片1.png


image.png

 综合炎症累积负担评分与MASLD风险关系



综合评分与MASLD风险呈线性正相关(非线性P=0.343)。



图片7.png
综合评分与MASLD风险呈线性正相关



亚组分析显示,综合炎症累积负担评分与MASLD新发风险之间的正相关关联在不同性别、年龄和BMI组别中均保持一致。



表 亚组中综合炎症累积负担评分与MASLD风险关系

图片8.png




研究结论

综合炎症累积负担增加与MASLD新发风险增加显著相关,炎症累积负担是MASLD发生的危险因素。研究证实了炎症累积效应对脂肪肝的驱动作用,聚焦慢性炎症管理可能对减轻脂肪肝疾病负担具有一定临床意义。




未来展望

未来研究需深入探索炎症累积负担影响肝脏代谢的具体分子通路,并整合新型炎症标志物或组学技术以提升风险预测精度。在此基础上,应推进多中心随机对照试验,验证靶向抗炎策略对高危人群的预防效果。最终目标是构建融合累积炎症评分的MASLD风险分层工具,推动社区早期筛查和精准防控体系的建立。


本次ESC 2025年会上,首都医科大学附属北京友谊医院心内科黄榕翀教授团队的研究成果展现了中国学者在心血管疾病防控领域的学术水平和国际影响力。从早发动脉粥样硬化的全球疾病负担分析到血压管理的创新理念,从炎症累积负担的代谢影响到听力损失的心血管预警价值,团队成员在欧洲心血管年会上发出了响亮的“中国之声”,为推动全球心血管疾病防控事业贡献了中国智慧。黄榕翀教授团队将继续深耕心血管疾病研究领域,为改善全球心血管健康状况贡献更多中国力量。





END





版面展示





1_01.jpg
2_01.jpg







作者简历







黄.png



黄榕翀 教授





主任医师、教授、博士生导师,首都医科大学附属北京友谊医院心血管中心副主任兼心内科副主任

毕业于复旦大学,曾在美国Mayo Clinic、美国Burnham研究所学习进修

主要从事复杂心脏病介入诊疗,建立“通州队列”,开展肥胖对心血管病预后与干预研究、医患共同决策心血管病临床研究

兼任FACC、FESC、国际医患共同决策委员会委员、中华预防医学会慢病预防与控制分会常委、中华中医药学会介入心脏病学会常委、中华医学会心血管病分会介入心脏病学组委员等



赵宇照片.jpg



赵宇 医师





首都医科大学附属北京友谊医院心内科博士研究生,师从黄榕翀教授

发表国内外论文7篇,多次参与ESC、长城会、东方会等进行口头壁报交流或口头报交流。主要研究方向是代谢性心血管疾病、冠心病抗栓治疗临床研究



杜冬杰照片.jpg



杜冬杰 医师





首都医科大学附属北京友谊医院心内科专业型博士研究生在读,师从黄榕翀教授

曾参加美国ACC-FIT论文交流、GW-ICC第四届中国 FIT jeopardy决赛,获得第四届全国心血管研究生论坛三等奖,发表学术论文3篇

主要研究方向为肥胖与冠心病预后临床研究



胡莹照片.jpg



胡莹 医师





首都医科大学附属北京友谊医院心内科专业型硕士研究生在读,师从黄榕翀教授

发表学术论文2篇,主要研究方向为听力损失与冠心病风险、预后临床研究




200 评论

查看更多