壹生大学

壹生身份认证协议书

本项目是由壹生提供的专业性学术分享,仅面向医疗卫生专业人士。我们将收集您是否是医疗卫生专业人士的信息,仅用于资格认证,不会用于其他用途。壹生作为平台及平台数据的运营者和负责方,负责平台和本专区及用户相关信息搜集和使用的合规和保护。
本协议书仅为了向您说明个人相关信息处理目的,向您单独征求的同意,您已签署的壹生平台《壹生用户服务协议》和《壹生隐私政策》,详见链接:
壹生用户服务协议:
https://apps.medtrib.cn/html/serviceAgreement.html
壹生隐私政策:
https://apps.medtrib.cn/html/p.html
如果您是医疗卫生专业人士,且点击了“同意”,表明您作为壹生的注册用户已授权壹生平台收集您是否是医疗卫生专业人士的信息,可以使用本项服务。
如果您不是医疗卫生专业人士或不同意本说明,请勿点击“同意”,因为本项服务仅面向医疗卫生人士,以及专业性、合规性要求等因素,您将无法使用本项服务。

同意

拒绝

同意

拒绝

知情同意书

同意

不同意并跳过

工作人员正在审核中,
请您耐心等待
审核未通过
重新提交
完善信息
{{ item.question }}
确定
收集问题
{{ item.question }}
确定
您已通过HCP身份认证和信息审核
(
5
s)

【下篇】加速迈向精准组合治疗时代!谢璐教授解读2025骨肿瘤领域年度研究进展丨年终盘点

2025-12-09作者:论坛报岳岳资讯
原创

image.png

新程已启,知往鉴今。当时间迈向2025年的末尾,中国医学论坛报特别策划“创新·突破·引领丨2025肿瘤领域进展名家盘点”活动,诚邀肿瘤各领域专家回顾解读2025年度肿瘤领域重磅研究,传播前沿进展,引领学术创新。


本期,我们非常荣幸邀请到北京大学人民医院谢璐教授团队,为我们深入评述2025年度骨肿瘤领域的研究进展与临床意义。【下篇】带来尤文肉瘤及软骨肉瘤研究进展解读内容。


2025骨肿瘤年度进展盘点


作者:北京大学人民医院骨肿瘤二科 杨晨晨 谢璐


前言


2025年骨肿瘤领域迎来了不少令人欣喜的突破。一方面,骨肉瘤与尤文肉瘤以MAP/VDC-IE为核心的化疗体系仍是基石,但靶向抗血管酪氨酸激酶抑制剂(TKI)的前移联合、DDR/合成致死和转录依赖通路的新药探索,正在为高危与复发转移人群打开新的生存窗口;另一方面,以B7-H3等“Surfaceoma”靶点为代表的抗体药物偶联物(ADC)与细胞治疗快速迭代,逐渐从概念验证走向注册研究。软骨肉瘤则在精准分层驱动下取得近年最实质性进展,IDH抑制剂与DR5激动剂首次为传统型晚期患者提供系统治疗获益。


总体而言,2025年的关键词是用药前移及联合、分子及免疫分型富集与表面靶点治疗的临床转化,骨肿瘤治疗正从“单一化疗时代”加速迈向“精准组合治疗时代”。


尤文肉瘤进展


01
瑞戈菲尼(regorafenib)+VDC/IE:Ⅰb期临床试验


Rego-Inter-Ewing-1研究为一项国际性、多中心、Ⅰb期临床试验,旨在将口服多靶点TKI瑞戈菲尼加入到标准剂量VDC/IE方案中,应用于新诊断的多发转移尤文肉瘤人群。该研究最终将82 mg/m²/day(上限160 mg/day),d5–d25作为推荐Ⅱ期剂量,并计划在2025年第三季度启动Inter-Ewing-1试验,用于检验“在新诊断转移尤文肉瘤(包括仅肺/胸膜转移)标准治疗中加入瑞戈菲尼”的疗效与临床获益。


图 瑞戈菲尼联合VDC/IE在尤文肉瘤中的Ⅰb期临床试验结果(图片来自2025 ASCO年会)


02
rEECur研究(CE+HD-IFO方案):Ⅱ期临床试验最新研究结果


由欧洲尤文肉瘤协作组主导的rEECur是一个国际多中心、随机对照、多臂Ⅱ期临床试验,旨在评估对比卡铂+依托泊苷(CE)与高剂量异环磷酰胺(HD-IFO)的在复发或原发难治性尤文肉瘤中的疗效。CE组用药方案为:Carboplatin 400 mg/m² d1 + Etoposide 120 mg/m² d1-3 (q3w)。HD-IFO组用药方案为:Ifosfamide 15 g/m²连续5天(q3w)。试验结果表明,在中位EFS期上,HD-IFO组为5.1个月;CE组为3.5 个月,验后概率上,IFOS优于CE的概率为87%;6个月EFS率上,IFOS约为44%,CE约为36%,提示HD-IFO仍是控制疾病的更优方案。


在rEECur的Ⅱ期对比中,HD-IFO仍为R/R-Ewing肉瘤的最有效化疗选择;Carboplatin + Etoposide虽安全可行,但疗效不足以取代高剂量Ifosfamide。该结果强化了HD-IFO作为后续国际标准对照的定位。


图 卡铂+依托泊苷与大剂量异环磷酰胺在尤文肉瘤中的疗效对比(图源2025 ASCO年会)


03
ONITT:脂质体伊立替康+PARP抑制剂(Talazoparib)/替莫唑胺(TMZ)的Ⅰ期试验


该试验分为Arm A:Onivyde + Talazoparib和Arm B:Onivyde + Temozolomide。Arm A的DLT主要为中性粒细胞减少、血小板减少和腹泻;在剂量DL2(Onivyde 55 mg/m²+Talazoparib 0.035 mg/kg)出现多例DLT,确定MTD为Onivyde 50 mg/m²+Talazoparib 0.025 mg/kg。Arm B(Onivyde+TMZ):耐受性较好,MTD接近Onivyde 60 mg/m² + TMZ 100 mg/m²(d1–5);主要毒性为中性粒细胞减少(G3~4约为50%),可通过延迟与G-CSF支持控制。


在可评估患者中:Arm A的PR为10%~15%,DCR为50%;Arm B:PR为20%~25%,DCR约60%。Onivyde+TMZ 的疗效略优,毒性更可控,被建议优先进入Ⅱ期扩展。


图 脂质体伊立替康+PARP抑制剂(Talazoparib)/替莫唑胺(TMZ)的Ⅰ期试验在尤文肉瘤中的疗效对比(图源丨2025 ASCO年会)


04
全肺放疗在成人小圆细胞肉瘤肺转移中的研究进展


全肺照射(WLI)在儿童Ewing肺转移的综合治疗中更常用,通常在化疗后肺转移达到影像学缓解/切除后作为巩固,在成人中的证据相对缺乏。该研究回顾分析了19例成人小圆细胞肉瘤肺转移全肺照射后的数据发现,⓵肺局部疗效:肺部局部ORR为78.9%,提示WLI对肺内病灶确实“能压下去”;⓶ 肺局部无进展:中位p-PFS期为6.7个月;⓷全身无进展: 中位s-PFS期为7.1个月;⓸OS期:中位OS期为73个月。且CIC-DUX4从WLI获益显著更差,提示这类亚型更需要系统治疗突破,单靠局部治疗很难改善预后。但该研究缺少未接受WLI的对照组,因此不能直接证明WLI提高OS,只能说明在被选中的成人患者里,WLI可实现较高肺部ORR且毒性可管理。


图 全肺放疗对小圆细胞肉瘤的不同PFS数据的影响(图源丨2025 CTOS年会)


05
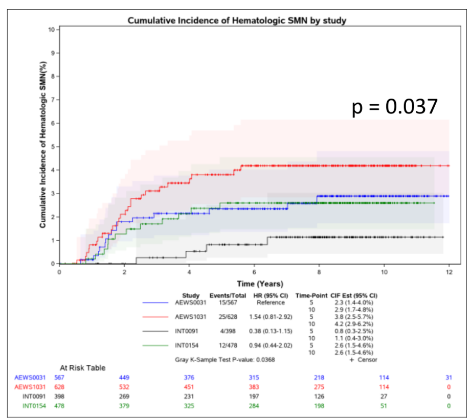
尤文肉瘤患者接受一线方案治疗后发生第二恶性肿瘤(SMN)的相关探索


在COG/Intergroup多项III期尤文肉瘤试验的随访汇总中(n=2071,中位随访8.6年),共观察到74例第二恶性肿瘤,其中血液系统SMN占多数(56/74)。不同试验间5年血液系统SMN累计发生存在差异,AEWS1031最高(3.8%,95%CI 2.5%~5.7%,p=0.037)。多因素模型提示女性是总SMN与血液系统SMN的独立危险因素(HR分别为2.39与2.67),而实体瘤SMN风险与放疗暴露相关(HR为3.04)。


图 不同临床试验中尤文肉瘤患者接受一线方案治疗后发生第二恶性肿瘤的情况(图源丨2025 CTOS年会)


06
脂质体伊立替康在尤文肉瘤中的探索


尤文肉瘤二线常用VIT方案,该方案虽然长疗程低剂量更有效,但住院时间长、影响生活质量,因此,每周给药的长效脂质体伊立替康(NALIRI)的探索正在展开,希望在“减少住院”的同时保持疗效,并探索儿童与成人的合适剂量。该研究的给药方案(21天一周期)为:VCR:1.5 mg/m²(最大2 mg)D1静滴;TMZ:100 mg/m² D1–5口服;NALIRI:D1/D8/D15,每次90分钟静滴(每周一次,剂量梯度:NALIRI 25 / 30 / 35 / 40 mg/m²)。最终的RP2D定为35 mg/m²,中位PFS 3.6个月(总人群),儿童4.7个月、成人3.0个月。


图 每周给药的长效脂质体伊立替康在尤文肉瘤中的探索(图源丨An Open-Label, Two-Cohort, Phase 1a/b Study of Weekly Irinotecan Hydrochloride Liposome Injection combined with Vincristine and Temozolomide (NALIRI-VT) in patients with advanced Ewing sarcoma)


软骨肉瘤进展


01
DR5激动剂在晚期传统型软骨肉瘤中的探索


晚期、不可切除传统型软骨肉瘤系统治疗选择少、PFS期很短。研究表明,软骨肉瘤细胞系DR5高表达且对内源性凋亡耐受,一项DR5(TNFR家族,TRAIL结合后诱导凋亡)激动剂ozekibart(INBRX-109)的二期研究正在展开。该项随机对照试验表明:mPFS期:5.52个月对2.66个月(ozekibart对安慰剂);HR 0.479,p<0.0001,在晚期传统型软骨肉瘤中,ozekibart能明确改善PFS期,而且毒性谱可控,有望成为晚期传统型软骨肉瘤的首个标准治疗选择。


图 DR5激动剂在晚期传统型软骨肉瘤中的疗效(图源丨2025 CTOS年会)


02
软骨肉瘤观察终点的新选择


由于各项药物治疗在软骨肉瘤中的ORR仅0%~3%,一项来在MD Anderson的研究回顾性探索了软骨肉瘤最适合的研究观察终点。研究者发现SD相比PD的患者具有显著更长OS期(HR 0.23,p<0.001),因此提出:“任何缩小的SD(SD-ATR)”可能是软骨肉瘤更有临床意义的替代终点。同时,该研究还总结了目前软骨肉瘤相关的新型药物治疗:1、DR5 激动剂(n=19):1 PR + 10 SD-ATR ;mPFS期5.5月;mOS期为20.1月。2、TGF-β 抑制剂(n=5):4 SD(其中1 SD-ATR),mPFS期为5.5月;mOS期为30.5月。3、IDH 抑制剂(n=5):无客观缓解或SD-ATR;mPFS期为1.3月;mOS期为17.3月。在多机制早期试验汇总中,软骨肉瘤的ORR总体较低,提示传统ORR可能低估药物价值。以“任意缩小的SD(SD-ATR)”作为替代终点时,可在DR5激动剂、TGF-β抑制、PRMT5/METTL3抑制、TLR7激动剂及部分ADC策略中观察到疾病控制,其中DR5激动剂组合显示更突出的SD-ATR比例并伴随较长的PFS。


图 任何缩小的SD作为软骨肉瘤临床试验观察终点(图源丨2025 CTOS年会)


03
PD-1抑制剂+安罗替尼对比安罗替尼在软骨肉瘤中的探索


该项随机对照试验中的Arm A为:安罗替尼12 mg,d1–14,q3w;Arm B为:安罗替尼+PD-1抑制剂200 mg q3w。疗效分析表明:6个月PFS率:31.4%(A)对60.0%(B);mPFS:5.6个月对7.2个月;ORR:5.7%对 22.9%;DCR:68.6%对74.3%,其中获益最大的亚型是去分化软骨肉瘤。该研究还发现所有客观缓解(CR/PR)的患者都携带IDH1/2突变,提示IDH状态可能与免疫联合治疗获益相关。


图 PD-1抑制剂 + 安罗替尼对安罗替尼在软骨肉瘤中的疗效对比(图源丨Li B, Xie L,et.al. Anti-PD-1 antibody plus anlotinib vs. anlotinib alone in patients with refractory chondrosarcoma: A multicenter, non-randomized phase 2 FLAIL-C trial. )


总结

总体来看,2025年骨肿瘤治疗正在完成从“单一化疗维持”到“精准分层下的组合与前移”的关键过渡:一方面,骨肉瘤与尤文的标准化疗骨架仍不可替代,但B7-H3等表面靶点 ADC、巨噬轴免疫重塑、抗血管TKI的生物标志物富集、以及DDR/合成致死等新机制正在不断把复发转移与高危人群的“可治疗窗口”向前推进;另一方面,软骨肉瘤在DR5激动剂与更合理替代终点(如SD-ATR)框架下,首次出现可复制的系统治疗获益与更清晰的药物研发路径。


面向未来,真正“改变格局”的关键不只在于新药数量,更在于:用分子/免疫分型实现更精准的入组与联合策略、用高质量随机或平台试验完成确证、并同步把长期毒性与生存者随访(如SMN 风险)纳入治疗决策体系。随着多中心协作与转化研究进一步加速,骨肿瘤有望在接下来几年迎来一批能够进入标准治疗序列的精准组合方案。


专家简介


谢璐
北京大学人民医院
  • 博士,北京大学人民医院骨肿瘤二科副主任

  • 副主任医师,副教授,硕士生导师

  • MIB Agents Osteosarcoma Alliance委员

  • 中国医药教育协会骨软肿瘤专业委员会副主任委员

  • 中国抗癌协会骨肿瘤和骨转移癌专业委员会委员

  • 中国抗癌协会骨肿瘤和骨转移癌专业委员会药物与精准治疗学组副组长

  • 中国抗癌协会肿瘤转移专业委员会委员

  • 中国抗癌协会肉瘤专业委员会靶向免疫治疗学组副组长

  • 中国抗癌协会肉瘤专业委员会放化疗学组委员

  • 中国抗癌协会肉瘤专业委员会基础研究学组委员

  • 中国医疗保健国际交流促进会盆腔肿瘤学分会委员

  • 中国临床肿瘤学会肉瘤专家委员会委员

  • 中国老年学和老年医学会老年骨科分会骨肿瘤学组委员

  • 中国抗癌协会中西整合骨及软组织肿瘤专业委员会委员

  • 北京医师协会腹膜后肿瘤分会委员

  • 北京医师协会肿瘤生殖学专委会委员

  • 中国罕见病联盟罕见肿瘤专业委员会委员

  • 中国罕见病联盟/北京罕见病诊疗与保障学会骨与软组织肿瘤专业委员会委员

  • 于2016年于美国Mayo Clinic的Pediatric oncology、Medical oncology做访问学者,进修骨与软组织肿瘤的内科治疗

  • 以第一作者/通讯作者身份发表论文33篇,其中SCI论文共29篇

  • 主持国家自然科学基金1项,北自然基金1项,北京科委基金2项等


杨晨晨 谢璐团队.png

杨晨晨
北京大学人民医院
  • 北京大学人民医院骨肿瘤二科

  • 硕士研究生


整理丨中国医学论坛报 胡岳

200 评论

查看更多