壹生大学

壹生身份认证协议书

本项目是由壹生提供的专业性学术分享,仅面向医疗卫生专业人士。我们将收集您是否是医疗卫生专业人士的信息,仅用于资格认证,不会用于其他用途。壹生作为平台及平台数据的运营者和负责方,负责平台和本专区及用户相关信息搜集和使用的合规和保护。
本协议书仅为了向您说明个人相关信息处理目的,向您单独征求的同意,您已签署的壹生平台《壹生用户服务协议》和《壹生隐私政策》,详见链接:
壹生用户服务协议:
https://apps.medtrib.cn/html/serviceAgreement.html
壹生隐私政策:
https://apps.medtrib.cn/html/p.html
如果您是医疗卫生专业人士,且点击了“同意”,表明您作为壹生的注册用户已授权壹生平台收集您是否是医疗卫生专业人士的信息,可以使用本项服务。
如果您不是医疗卫生专业人士或不同意本说明,请勿点击“同意”,因为本项服务仅面向医疗卫生人士,以及专业性、合规性要求等因素,您将无法使用本项服务。

同意

拒绝

同意

拒绝

知情同意书

同意

不同意并跳过

工作人员正在审核中,
请您耐心等待
审核未通过
重新提交
完善信息
{{ item.question }}
确定
收集问题
{{ item.question }}
确定
您已通过HCP身份认证和信息审核
(
5
s)

友谊“心”力量!黄榕翀教授团队多项研究成果亮相ESC 2025(3)

2025-09-12作者:论坛报木易资讯
原创
14285fee00c9dcb0b779004f26049498.jpg

2025年8月28日至9月1日,欧洲心脏病学会年会(ESC 2025)在西班牙马德里隆重举行。作为全球心血管病领域最具影响力的学术会议之一,本次年会吸引了来自世界各地的专家学者参会交流。



首都医科大学附属北京友谊医院心内科黄榕翀教授团队受邀交流口头发言2项、壁报展示4篇,涵盖了早发动脉粥样硬化性心血管疾病全球负担分析、血压管理创新策略、儿童肥胖与成年后心脏结构、功能和疾病、炎症累积负担与代谢性疾病、听力损失与心血管疾病关联等多个心血管领域前沿研究。团队进行了精彩的口头分享与交流,研究内容广受好评,引起了国内外学者的广泛关注。其中,杜耀博士在全球心血管青年医师中脱颖而出,荣获ESC青年研究者奖(ESC Young Investigator Award)。



下面摘取部分交流内容,带大家重温这场学术盛宴,回顾本次会议中的北京友谊医院心内科团队“中国之声”。



都医科大学附属北京友谊医院心内科黄榕翀教授团队在ESC现场



PART 3
稳定血压,守护心脏——高收缩压达标时间比例显著降低心衰风险



第一作者:陈伟华博士




研究背景和方法

心力衰竭是全球心血管疾病的重要威胁,其发病率和死亡率持续上升,高血压是最主要的危险因素之一。



在临床实践中,医生常通过平均血压值判断降压效果。然而,这一方法无法反映血压的波动和长期控制情况。SBP TTR则提供了新的视角,它衡量患者血压处于目标范围内的时间比例,更能体现血压控制的稳定性。



研究团队分析了7962例高血压患者的数据,这些患者在SPRINT试验中被随机分配至强化降压组(目标<120 mmHg)或标准降压组(目标<140 mmHg)。通过Rosendaal方法计算0~12个月内的SBP TTR。



表  SBP TTR与心衰、心衰或全因死亡复合终点发生风险的关系

image.png



在使用全部矫正变量的模型分析中,收缩压达标时间比例(SBP TTR)每增加1个标准差(26%),心力衰竭的发生风险降低14%(HR=0.86,95%CI:0.75~0.99,P=0.030);在心衰或全因死亡这一复合终点上,风险降低15%(HR=0.85,95%CI:0.78~0.94,P<0.001)。这些结果提示,在充分调整治疗分组、心血管危险因素、基线血压水平及合并疾病等潜在混杂因素后,较高的SBP TTR仍与显著降低心衰及不良复合结局风险相关。



Figure 1.jpg

SBP TTR组与低TTR组生物标志物变化对比



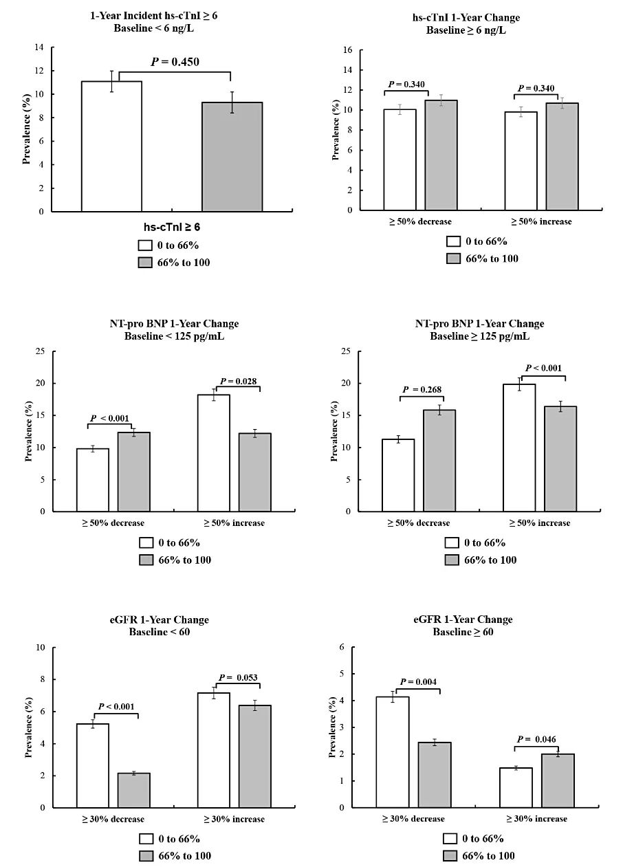
在本研究中,我们进一步分析了不同收缩压达标时间比例(SBP TTR)水平对多种心肾生物标志物一年随访变化的影响。



在心肌损伤标志物方面,无论基线hs-高敏心肌肌钙蛋白(cTnI)水平<6 ng/L还是≥6 ng/L,高SBP TTR组与低SBP TTR组在一年内新发升高或显著变化≥50%升高或降低)的发生率差异均无统计学意义



在心衰相关标志物方面,高SBP TTR组表现出更为有利的变化趋势。基线N末端B型利钠肽原(NT-proBNP)<125 pg/ml的人群中,高SBP TTR组显著降低了NT-proBNP一年内≥50%升高的发生率(P=0.028),且显著增加了≥50%下降的比例(P<0.001);在基线≥125 pg/ml的人群中,高SBP TTR组一年内NT-proBNP显著升高的比例明显低于低SBP TTR组(P<0.001)。



在肾功能方面,高SBP TTR组同样表现出保护作用。基线估计肾小球滤过率(eGFR)<60 ml/(min·1.73m2)的人群中,高SBP TTR组一年内≥30%下降的比例显著更低(P<0.001);而在基线eGFR≥60 ml/(min·1.73m2)的人群中,高SBP TTR组不仅≥30%下降的比例更低(P=0.004),≥30%升高的比例也较低(P=0.046)。



上述结果提示,较高的SBP TTR水平不仅与AKI风险降低相关,还可能有助于在一年随访中改善心衰和肾功能相关指标,体现了持续稳定血压控制对多器官保护的潜在价值。

Figure 2.jpg

SBP TTR与降压强度对生物标志物变化的影响



除了临床结局,高SBP TTR还与心脏和肾脏功能指标的改善密切相关。高SBP TTR患者的NT-proBNP水平平均下降7.3%,肾小球滤过率(eGFR)平均提高2%,显示出心脏负荷减轻和肾功能保护的双重好处;而hs-cTnI整体无显著变化,但强化降压可额外降低5.1%。



Figure 3.jpg生物标志物在SBP TTR与心衰风险之间的中介作用



机制分析表明,NT-proBNP是SBP TTR影响心衰风险的主要中介因素,可解释4%~7%的风险降低;eGFR在复合终点中的中介作用为3.5%,而hs-cTnI作用较小。




研究意义

研究团队指出,这一结果提示临床在制定降压方案时,应将“稳定控制”作为重要目标,将SBP TTR纳入日常监测,并结合NT-proBNP等生物标志物进行动态评估,从而为患者提供更精准、更安全的个体化血压管理。



该研究不仅为高血压管理提供了新的评价指标,还为预防心衰开辟了新路径。未来,SBP TTR有望成为指导降压治疗的重要参考,帮助更多患者远离心衰风险。



现场6.jpg
现场7.jpg

黄榕翀教授在ESC 2025现场与同道交流讨论




本次ESC 2025年会上,首都医科大学附属北京友谊医院心内科黄榕翀教授团队的研究成果展现了中国学者在心血管疾病防控领域的学术水平和国际影响力。从早发动脉粥样硬化的全球疾病负担分析到血压管理的创新理念,从炎症累积负担的代谢影响到听力损失的心血管预警价值,团队成员在欧洲心血管年会上发出了响亮的“中国之声”,为推动全球心血管疾病防控事业贡献了中国智慧。黄榕翀教授团队将继续深耕心血管疾病研究领域,为改善全球心血管健康状况贡献更多中国力量。





END





版面展示





1_01.jpg
2_01.jpg







作者简历







黄.png



黄榕翀 教授





主任医师、教授、博士生导师,首都医科大学附属北京友谊医院心血管中心副主任兼心内科副主任

毕业于复旦大学,曾在美国Mayo Clinic、美国Burnham研究所学习进修

主要从事复杂心脏病介入诊疗,建立“通州队列”,开展肥胖对心血管病预后与干预研究、医患共同决策心血管病临床研究

兼任FACC、FESC、国际医患共同决策委员会委员、中华预防医学会慢病预防与控制分会常委、中华中医药学会介入心脏病学会常委、中华医学会心血管病分会介入心脏病学组委员等


陈伟华博士.jpg



陈伟华 医师





首都医科大学附属北京友谊医院内科学(心血管病方向)在读博士研究生,师从黄榕翀教授

目前以第一/共同第一作者在J Cachexia Sarcopenia Muscle, BMJ-EBM, Chinese medical journal, Lipids in health and disease, Medcomm等SCI期刊发表原创论著多篇,其中单篇最高影响因子12分

多次受邀参加国际会议壁报交流(ESC,AHA)

主要研究方向为高血压与代谢心血管疾病临床研究

曾获国家奖学金,福建医科大学优秀毕业生等



200 评论

查看更多